欢迎来到广东和发能源科技集团有限公司!

联系热线:020-38797541 语言选择:中文 | ENGLISH

广东和发能源科技集团有限公司

News Center

新闻资讯

通知公告
公司新闻
媒体报道
视频专区
行业资讯
您的位置:新闻资讯 > 行业资讯

常温超导材料:又一次狼来了?

2023-07-31 11:50:56 来源: 奇迹笔记 齐鸣观察 广东和发整合

近期韩国物理学家团队发现了世界首个常温超导材料的消息火遍全网。他们将铅磷三种材料按照一定组合后分别混合加热最终得到了一种铅磷灰石晶体,他们将其命名为LK-99材料叫铅磷灰石。



超导是材料在一定温度下电阻变为0的物理现象同时超导体还有另一种性质称为完全抗磁性。材料转变成超导体后,体内的磁场会“排斥”几乎所有的磁通量,磁力线无法穿透超导体。


这个现象也被称为迈斯纳效应。超导体的应用有望为科技带来巨大变革,但苦于超导转变温度过低,应用受限;室温条件下的超导体是超导研究人员的终极梦想。如果真的几天后验证,常温常压超导,磷将会上升为第四次工业革命的核心上游材料


其实在今年3月就曾有一个和室温超导相关的报告,但最终被视为证据不足和造假而受到质疑。



那为什么此次韩国团队的消息依旧火遍全网。一是人们太希望它是真的;二是在于这次韩国团队不仅公布了他们使用的材料,还在论文中介绍了详细的材料制备方法,而且材料成分比较简单和明确。想要制备出相同的材料,拿来检验韩国团队的实验结果,难度并不大。有些国外主播甚至在家里进行实验。


第一步:用摩尔比11的氧化铅和硫酸铅粉末在725摄氏度和10^-3Torr条件下发生固相化学反应,合成黄铅矾;

第二步:在550摄氏度和10^-3Torr条件下合成磷化亚铜(一、二步可独立进行);

第三步:一、二步的产物研磨成粉末后,在10^-3Torr条件下,加热到925摄氏度,合成掺Cu的铅-磷灰石(即LK-99)。



结构与物性

红线是铅-磷灰石,黑线是LK-99,可见掺入少量的Cu后,晶格常数变小了,即材料发生了收缩。


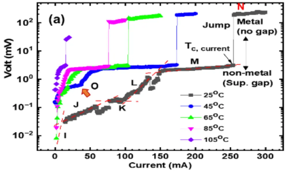
纵轴是电压,横轴是电流,可见在室温区间,电压为0时,电流可以不是0。

纵轴是电压,横轴是电流,可见在室温区间,电压为0时,电流可以不是0。


电阻率确实有一个跳变,但需注意的是金属的电阻率是10^-6Ω·cm,换句话说上图的测量精度是远远不够的。这看上去更像是发生了一个绝缘体-金属转变。




黑球代表Pb1,提供支撑/框架作用,部分被Cu取代后,会产生一个压缩的效应,灰球代表Pb2,柱状排列的Pb2构成一个1维系统,特定温度下还可产生电荷密度波(CDW),即电荷的周期性调制。






不过相关专家仍对此次实验存在质疑,美国人工智能公司OpenAI的联合创始人兼首席执行官山姆·奥特曼(Sam Altman)发表评论称,我非常想相信,但我认为我们对一个二磁体(diamagnet)过于激动了。


超导领域研究专家、加州大学圣地亚哥分校理系教授豪尔赫·赫希(Jorge Hirsch)谈到韩国前述超导材料新论文时说:这不是超导。这是实验性假象、一厢情愿的想法和糟糕的判断(在最好的情况下)。


据科技新闻媒体《新科学家》(New Scientist26日的报道,牛津大学材料系教授苏珊娜·斯佩勒(Susannah Speller)表示,现在说这些样品能够超导,还为时尚早。她表示,当一种材料变得超导时,在许多测量中应该展现出明确的特征。但其中的两个参数——对磁场的响应情况和一个被称为热容的参数,前述论文没有展示相关数据。


我国南京大学物理学院教授闻海虎表示“我们仔细分析过他们的数据,从三个方面—电阻、磁化和所谓的磁悬浮,都不足以说明它是超导现象。我们判断极有可能是个假象。”


虽然有关研究出常温超导体材料的新闻一直都是狼来了,但人们也都希望这是真的。毕竟研究常温超导材料是非常重要的一件事情,如果能过实现,确实能够带来很多方面的改变。一旦被证实,这将是一场真正的革命,一场深刻的工业界的革命。

常温超导材料:又一次狼来了?

2023-07-31 11:50:56 来源: 奇迹笔记 齐鸣观察 广东和发整合

近期韩国物理学家团队发现了世界首个常温超导材料的消息火遍全网。他们将铅磷三种材料按照一定组合后分别混合加热最终得到了一种铅磷灰石晶体,他们将其命名为LK-99材料叫铅磷灰石。



超导是材料在一定温度下电阻变为0的物理现象同时超导体还有另一种性质称为完全抗磁性。材料转变成超导体后,体内的磁场会“排斥”几乎所有的磁通量,磁力线无法穿透超导体。


这个现象也被称为迈斯纳效应。超导体的应用有望为科技带来巨大变革,但苦于超导转变温度过低,应用受限;室温条件下的超导体是超导研究人员的终极梦想。如果真的几天后验证,常温常压超导,磷将会上升为第四次工业革命的核心上游材料


其实在今年3月就曾有一个和室温超导相关的报告,但最终被视为证据不足和造假而受到质疑。



那为什么此次韩国团队的消息依旧火遍全网。一是人们太希望它是真的;二是在于这次韩国团队不仅公布了他们使用的材料,还在论文中介绍了详细的材料制备方法,而且材料成分比较简单和明确。想要制备出相同的材料,拿来检验韩国团队的实验结果,难度并不大。有些国外主播甚至在家里进行实验。


第一步:用摩尔比11的氧化铅和硫酸铅粉末在725摄氏度和10^-3Torr条件下发生固相化学反应,合成黄铅矾;

第二步:在550摄氏度和10^-3Torr条件下合成磷化亚铜(一、二步可独立进行);

第三步:一、二步的产物研磨成粉末后,在10^-3Torr条件下,加热到925摄氏度,合成掺Cu的铅-磷灰石(即LK-99)。



结构与物性

红线是铅-磷灰石,黑线是LK-99,可见掺入少量的Cu后,晶格常数变小了,即材料发生了收缩。


纵轴是电压,横轴是电流,可见在室温区间,电压为0时,电流可以不是0。

纵轴是电压,横轴是电流,可见在室温区间,电压为0时,电流可以不是0。


电阻率确实有一个跳变,但需注意的是金属的电阻率是10^-6Ω·cm,换句话说上图的测量精度是远远不够的。这看上去更像是发生了一个绝缘体-金属转变。




黑球代表Pb1,提供支撑/框架作用,部分被Cu取代后,会产生一个压缩的效应,灰球代表Pb2,柱状排列的Pb2构成一个1维系统,特定温度下还可产生电荷密度波(CDW),即电荷的周期性调制。






不过相关专家仍对此次实验存在质疑,美国人工智能公司OpenAI的联合创始人兼首席执行官山姆·奥特曼(Sam Altman)发表评论称,我非常想相信,但我认为我们对一个二磁体(diamagnet)过于激动了。


超导领域研究专家、加州大学圣地亚哥分校理系教授豪尔赫·赫希(Jorge Hirsch)谈到韩国前述超导材料新论文时说:这不是超导。这是实验性假象、一厢情愿的想法和糟糕的判断(在最好的情况下)。


据科技新闻媒体《新科学家》(New Scientist26日的报道,牛津大学材料系教授苏珊娜·斯佩勒(Susannah Speller)表示,现在说这些样品能够超导,还为时尚早。她表示,当一种材料变得超导时,在许多测量中应该展现出明确的特征。但其中的两个参数——对磁场的响应情况和一个被称为热容的参数,前述论文没有展示相关数据。


我国南京大学物理学院教授闻海虎表示“我们仔细分析过他们的数据,从三个方面—电阻、磁化和所谓的磁悬浮,都不足以说明它是超导现象。我们判断极有可能是个假象。”


虽然有关研究出常温超导体材料的新闻一直都是狼来了,但人们也都希望这是真的。毕竟研究常温超导材料是非常重要的一件事情,如果能过实现,确实能够带来很多方面的改变。一旦被证实,这将是一场真正的革命,一场深刻的工业界的革命。

关于和发
关于我们 企业文化 资质信息 荣誉信息
精品案例
电力线路应急抢修系统(ERS) 施工建设
核心技术
电力线路应急抢修系统(ERS) TS新碳纤维导线
新闻资讯
通知公告 公司新闻 媒体报道 行业资讯
联系我们

联系电话:020-38797541

在线QQ:

在线邮箱:hfpowerzmx@126.com

邮政编号:511400

联系地址:广州市天河区天河直街148号体育西苑302房

91丝袜美腿